|
Developer Documentation
|
#include <ACG/Scenegraph/GLState.hh>
Public Member Functions | |
| GLState (bool _updateGL=true, bool _compatibilityProfile=true) | |
| Default constructor. | |
| ~GLState () | |
| destructor | |
| void | makeCurrent () |
| does nothing | |
| void | initialize () |
| initialize all state variables (called by constructor) | |
| bool | updateGL () const |
| should GL matrices be updated after each matrix operation | |
| void | set_updateGL (bool _b) |
| should GL matrices be updated after each matrix operation | |
| unsigned int | msSinceLastRedraw () const |
| time passed since last redraw in milliseconds | |
| void | set_msSinceLastRedraw (unsigned int _ms) |
| set time passed since last redraw in milliseconds | |
| void | setState () |
| set the whole stored gl state | |
| void | clearBuffers () |
| clear buffers viewport rectangle | |
| const GLenum & | depthFunc () const |
| get glDepthFunc() that is supposed to be active | |
| void | set_depthFunc (const GLenum &_depth_func) |
| Call glDepthFunc() to actually change the depth comparison function, and store the new value in this GLState. | |
| Vec3d | project (const Vec3d &_point) const |
| project point in world coordinates to window coordinates | |
| Vec3d | unproject (const Vec3d &_winPoint) const |
| unproject point in window coordinates _winPoint to world coordinates | |
| void | set_color (const Vec4f &_col) |
| set color | |
| const Vec4f & | color () |
| set color | |
| void | set_clear_color (const Vec4f &_col) |
| set background color | |
| const Vec4f & | clear_color () const |
| get background color | |
| void | set_base_color (const Vec4f &_col) |
| set base color (used when lighting is off) | |
| const Vec4f & | base_color () const |
| get base color (used when lighting is off) | |
| void | set_ambient_color (const Vec4f &_col) |
| set ambient color | |
| const Vec4f & | ambient_color () const |
| get ambient color | |
| void | set_diffuse_color (const Vec4f &_col) |
| set diffuse color | |
| const Vec4f & | diffuse_color () const |
| get diffuse color | |
| void | set_specular_color (const Vec4f &_col) |
| set specular color | |
| const Vec4f & | specular_color () const |
| get specular color | |
| void | set_overlay_color (const Vec4f &_col) |
| set overlay color More... | |
| const Vec4f & | overlay_color () const |
| Get overlay color. More... | |
| void | set_shininess (float _shininess) |
| set specular shininess (must be in [0, 128]) | |
| float | shininess () const |
| get specular shininess (must be in [0, 128]) | |
| void | set_point_size (float _f) |
| set point size | |
| float | point_size () const |
| get point size | |
| void | set_line_width (float _f) |
| set line width | |
| float | line_width () const |
| get line width | |
| void | set_blending (bool _b) |
| set whether transparent or solid objects should be drawn | |
| bool | blending () |
| get whether transparenet or solid objects should be drawn | |
| void | set_twosided_lighting (bool _b) |
| set whether transparent or solid objects should be drawn | |
| bool | twosided_lighting () |
| get whether transparenet or solid objects should be drawn | |
| void | set_multisampling (bool _b) |
| Enable or disable multisampling. | |
| bool | multisampling () |
| Get current multisampling state. | |
| void | allow_multisampling (bool _b) |
| Disable multisampling globally. | |
| bool | multisampling_allowed () |
| Check if Multisampling is globally disabled. | |
| int | max_texture_units () const |
| Get max number of available texture units. | |
| void | allow_mipmapping (bool _b) |
| Allow mipmapping globally. More... | |
| bool | mipmapping_allowed () const |
| Get current global mipmapping state. | |
| void | pick_init (bool _color) |
| initialize name/color picking stack (like glInitNames()) More... | |
| bool | pick_set_maximum (size_t _idx) |
| Set the maximal number of primitives/components of your object. More... | |
| void | pick_set_name (size_t _idx) |
| sets the current name/color (like glLoadName(_idx)) More... | |
| Vec4uc | pick_get_name_color (size_t _idx) |
| Vec4f | pick_get_name_color_norm (unsigned int _idx) |
| same as pick_get_name_color, but the resulting color channels are normalized in [0.0, 1.0] range | |
| void | pick_push_name (size_t _idx) |
| creates a new name the stack (like glPushName()) | |
| void | pick_pop_name () |
| pops the current name from the stack (like glPopName()) | |
| std::vector< size_t > | pick_color_to_stack (Vec4uc _rgba) const |
| size_t | pick_free_indicies () const |
| returns the number of still available colors during color picking | |
| bool | pick_error () const |
| size_t | pick_current_index () const |
| Returns the current color picking index (can be used for caching) More... | |
| bool | color_picking () const |
| Is color picking active? | |
set GL projection matrix | |
| void | reset_projection () |
| reset projection matrix (load identity) | |
| void | set_projection (const GLMatrixd &_m) |
| set projection | |
| void | set_projection (const GLMatrixd &_m, const GLMatrixd &_inv_m) |
| set projection and provide inverse projection matrix | |
| void | ortho (double _left, double _right, double _bottom, double _top, double _near_plane, double _far_plane) |
| orthographic projection | |
| void | frustum (double _left, double _right, double _bottom, double _top, double _near_plane, double _far_plane) |
| perspective projection | |
| void | perspective (double _fovY, double _aspect, double _near_plane, double _far_plane) |
| perspective projection | |
| void | viewport (int _left, int _bottom, int _width, int _height, int _glwidth=0, int _glheight=0) |
| set viewport (lower left corner, width, height, glcontext width, height) | |
set GL modelview matrix | |
| void | reset_modelview () |
| reset modelview matrix (load identity) | |
| void | set_modelview (const GLMatrixd &_m) |
| set modelview | |
| void | set_modelview (const GLMatrixd &_m, const GLMatrixd &_inv_m) |
| set modelview and provide inverse modelview matrix | |
| void | lookAt (const Vec3d &_eye, const Vec3d &_center, const Vec3d &_up) |
| set camera by lookAt | |
| void | translate (double _x, double _y, double _z, MultiplyFrom _mult_from=MULT_FROM_RIGHT) |
| translate by (_x, _y, _z) | |
| void | translate (Vec3d _vector, MultiplyFrom _mult_from=MULT_FROM_RIGHT) |
| translate by _vector | |
| void | rotate (double _angle, double _x, double _y, double _z, MultiplyFrom _mult_from=MULT_FROM_RIGHT) |
| rotate around axis (_x, _y, _z) by _angle | |
| void | scale (double _s) |
| scale by (_s, _s, _s) | |
| void | scale (double _s, MultiplyFrom) |
| scale by (_s, _s, _s) | |
| void | scale (double _sx, double _sy, double _sz, MultiplyFrom _mult_from=MULT_FROM_RIGHT) |
| scale by (_sx, _sy, _sz) | |
| void | mult_matrix (const GLMatrixd &_m, const GLMatrixd &_inv_m, MultiplyFrom _mult_from=MULT_FROM_RIGHT) |
| multiply by a given transformation matrix | |
| void | push_projection_matrix () |
| push projection matrix | |
| void | pop_projection_matrix () |
| pop projection matrix | |
| void | push_modelview_matrix () |
| push modelview matrix | |
| void | pop_modelview_matrix () |
| pop modelview matrix | |
get GL states, matrices and projection details | |
| const GLMatrixd & | projection () const |
| get projection matrix | |
| const GLMatrixd & | modelview () const |
| get modelview matrix | |
| const GLMatrixd & | viewport () const |
| get viewport matrix | |
| GLMatrixd | forward_projection () const |
| get forward projection matrix | |
| const GLMatrixd & | inverse_projection () const |
| get inverse projection matrix | |
| const GLMatrixd & | inverse_modelview () const |
| get inverse modelview matrix | |
| void | get_viewport (int &_left, int &_bottom, int &_width, int &_height) const |
| get viewport | |
| int | viewport_width () const |
| get viewport width | |
| int | viewport_height () const |
| get viewport height | |
| int | context_width () const |
| get gl context width | |
| int | context_height () const |
| get gl context height | |
| double | near_plane () const |
| get near clipping distance | |
| double | far_plane () const |
| get far clipping distance | |
| double | fovy () const |
| get field of view in y direction | |
| double | aspect () const |
| get aspect ratio | |
| Vec3d | eye () const |
| get eye point | |
| Vec3d | viewing_direction () const |
| get viewing ray | |
| Vec3d | viewing_direction (int _x, int _y) const |
| get viewing ray through pixel (_x,_y) | |
| Vec3d | up () const |
| get up-vector w.r.t. camera coordinates | |
| Vec3d | right () const |
| get right-vector w.r.t. camera coordinates | |
| void | viewing_ray (int _x, int _y, Vec3d &_origin, Vec3d &_direction) const |
Static Public Member Functions | |
| static void | syncFromGL () |
| synchronize this class with the OpenGL state machine | |
| static void | depthFunc (GLenum _depthFunc) |
| replaces glDepthFunc, supports locking (called in set_depthFunc too) | |
| static void | lockDepthFunc () |
| static void | unlockDepthFunc () |
| static bool | isDepthFuncLocked () |
glEnable / glDisable functionality | |
| static void | enable (GLenum _cap, bool _warnRemoved=true) |
| replaces glEnable, but supports locking | |
| static void | disable (GLenum _cap, bool _warnRemoved=true) |
| replaces glDisable, but supports locking | |
| static void | lockState (GLenum _cap) |
| locks a specific cap state, such that enable() or disable() has no effect | |
| static void | unlockState (GLenum _cap) |
| unlocks a specific cap state | |
| static bool | isStateLocked (GLenum _cap) |
| returns true, if a cap state is locked | |
| static bool | isStateEnabled (GLenum _cap) |
| returns true, if a cpa state is enabled | |
| static void | enableClientState (GLenum _cap) |
| replaces glEnableClientState, supports locking | |
| static void | disableClientState (GLenum _cap) |
| replaces glDisableClientState, supports locking | |
| static void | lockClientState (GLenum _cap) |
| locks a client state | |
| static void | unlockClientState (GLenum _cap) |
| unlocks a client state | |
| static bool | isClientStateEnabled (GLenum _cap) |
| returns true, if a client state is enabled | |
| static bool | isClientStateLocked (GLenum _cap) |
| returns true, if a client state is locked | |
| static void | blendFunc (GLenum _sfactor, GLenum _dfactor) |
| replaces glBlendFunc, supports locking | |
| static void | getBlendFunc (GLenum *_sfactor, GLenum *_dfactor) |
| get blend function, null-ptr safe | |
| static void | lockBlendFunc () |
| lock blend func | |
| static void | unlockBlendFunc () |
| unlock blend func | |
| static bool | isBlendFuncLocked () |
| get blend func locking state | |
| static void | blendFuncSeparate (GLenum _srcRGB, GLenum _dstRGB, GLenum _srcAlpha, GLenum _dstAlpha) |
| replaces glBlendFuncSeparate, supports locking | |
| static void | getBlendFuncSeparate (GLenum *_srcRGB, GLenum *_dstRGB, GLenum *_srcAlpha, GLenum *_dstAlpha) |
| get blend function, null-ptr safe | |
| static void | lockBlendFuncSeparate (bool _rgb=true, bool _alpha=true) |
| lock blend func | |
| static void | unlockBlendFuncSeparate () |
| unlock blend func | |
| static bool | isBlendFuncSeparateLocked () |
| get blend func locking state | |
| static bool | isBlendFuncSeparateColorLocked () |
| replaces glEnable, but supports locking | |
| static bool | isBlendFuncSeparateAlphaLocked () |
| replaces glEnable, but supports locking | |
| static void | blendEquation (GLenum _mode) |
| replaces glBlendEquation, supports locking | |
| static GLenum | getBlendEquation () |
| get blend equation | |
| static void | lockBlendEquation () |
| lock blend equation | |
| static void | unlockBlendEquation () |
| unlock blend equation | |
| static bool | isBlendEquationLocked () |
| get blend equation locking state | |
| static void | blendColor (GLclampf _red, GLclampf _green, GLclampf _blue, GLclampf _alpha) |
| replaces glBlendColor, supports locking | |
| static void | getBlendColor (GLclampf *_col) |
| get blend color, not null-ptr safe, 4 element color output: RGBA | |
| static void | lockBlendColor () |
| lock blend color | |
| static void | unlockBlendColor () |
| unlock blend color | |
| static bool | isBlendColorLocked () |
| get blend color locking state | |
| static void | alphaFunc (GLenum _func, GLclampf _ref) |
| replaces glAlphaFunc, supports locking | |
| static void | getAlphaFunc (GLenum *_func, GLclampf *_ref) |
| get alpha function, null-ptr safe | |
| static void | lockAlphaFunc () |
| lock alpha func | |
| static void | unlockAlphaFunc () |
| unlock alpha func | |
| static bool | isAlphaFuncLocked () |
| get alpha func locking state | |
| static void | shadeModel (GLenum _mode) |
| replaces glShadeModel, supports locking | |
| static GLenum | getShadeModel () |
| get current shade model | |
| static void | lockShadeModel () |
| lock shade model | |
| static void | unlockShadeModel () |
| unlock shade model | |
| static bool | isShadeModelLocked () |
| get shade model locking state | |
| static void | cullFace (GLenum _mode) |
| replaces glCullFace, supports locking | |
| static GLenum | getCullFace () |
| get current cull face | |
| static void | lockCullFace () |
| lock cull face | |
| static void | unlockCullFace () |
| unlock cull face | |
| static bool | isCullFaceLocked () |
| get cull face locking state | |
| static void | depthRange (GLclampd _zNear, GLclampd _zFar) |
| replaces glDepthRange, supports locking | |
| static void | getDepthRange (GLclampd *_zNearOut, GLclampd *_zFarOut) |
| get current depth range | |
| static void | lockDepthRange () |
| lock depth range | |
| static void | unlockDepthRange () |
| unlock depth range | |
| static bool | isDepthRangeLocked () |
| get depth range locking state | |
GL vertex pointers | |
| static void | vertexPointer (GLint _size, GLenum _type, GLsizei _stride, const GLvoid *_pointer) |
| replaces glVertexPointer, supports locking | |
| static void | getVertexPointer (GLint *_size, GLenum *_type, GLsizei *_stride, const GLvoid **_pointer) |
| get vertex pointer, null-ptr safe | |
| static void | vertexPointer (const Vec2f *_p) |
| Wrapper: glVertexPointer for Vec2f. | |
| static void | vertexPointer (const Vec2d *_p) |
| Wrapper: glVertexPointer for Vec2d. | |
| static void | vertexPointer (const Vec3f *_p) |
| Wrapper: glVertexPointer for Vec3f. | |
| static void | vertexPointer (const Vec3d *_p) |
| Wrapper: glVertexPointer for Vec3d. | |
| static void | vertexPointer (const Vec4f *_p) |
| Wrapper: glVertexPointer for Vec4f. | |
| static void | vertexPointer (const Vec4d *_p) |
| Wrapper: glVertexPointer for Vec4d. | |
| static void | lockVertexPointer () |
| lock vertex pointer | |
| static void | unlockVertexPointer () |
| unlock vertex pointer | |
| static bool | isVertexPointerLocked () |
| get vertex pointer lock state | |
| static void | normalPointer (GLenum _type, GLsizei _stride, const GLvoid *_pointer) |
| replaces glNormalPointer, supports locking | |
| static void | getNormalPointer (GLenum *_type, GLsizei *_stride, const GLvoid **_pointer) |
| get normal pointer, null-ptr safe | |
| static void | normalPointer (const Vec3f *_p) |
| Wrapper: glNormalPointer for Vec3f. | |
| static void | normalPointer (const Vec3d *_p) |
| Wrapper: glNormalPointer for Vec3d. | |
| static void | lockNormalPointer () |
| lock normal pointer | |
| static void | unlockNormalPointer () |
| unlock normal pointer | |
| static bool | isNormalPointerLocked () |
| get normal pointer lock state | |
| static void | colorPointer (GLint _size, GLenum _type, GLsizei _stride, const GLvoid *_pointer) |
| replaces glColorPointer, supports locking | |
| static void | getColorPointer (GLint *_size, GLenum *_type, GLsizei *_stride, const GLvoid **_pointer) |
| get color pointer, null-ptr safe | |
| static void | colorPointer (const Vec3uc *_p) |
| Wrapper: glColorPointer for Vec3uc. | |
| static void | colorPointer (const Vec3f *_p) |
| Wrapper: glColorPointer for Vec3f. | |
| static void | colorPointer (const Vec4uc *_p) |
| Wrapper: glColorPointer for Vec4uc. | |
| static void | colorPointer (const Vec4f *_p) |
| Wrapper: glColorPointer for Vec4f. | |
| static void | lockColorPointer () |
| lock color pointer | |
| static void | unlockColorPointer () |
| unlock vertex pointer | |
| static bool | isColorPointerLocked () |
| get vertex pointer lock state | |
| static void | texcoordPointer (GLint _size, GLenum _type, GLsizei _stride, const GLvoid *_pointer) |
| replaces glTexcoordPointer, supports locking | |
| static void | getTexcoordPointer (GLint *_size, GLenum *_type, GLsizei *_stride, const GLvoid **_pointer) |
| get color pointer, null-ptr safe | |
| static void | texcoordPointer (const float *_p) |
| Wrapper: glTexcoordPointer for float. | |
| static void | texcoordPointer (const double *_p) |
| Wrapper: glTexcoordPointer for double. | |
| static void | texcoordPointer (const Vec2f *_p) |
| Wrapper: glTexcoordPointer for Vec2f. | |
| static void | texcoordPointer (const Vec2d *_p) |
| Wrapper: glTexcoordPointer for Vec2d. | |
| static void | texcoordPointer (const Vec3f *_p) |
| Wrapper: glTexcoordPointer for Vec3f. | |
| static void | texcoordPointer (const Vec3d *_p) |
| Wrapper: glTexcoordPointer for Vec3d. | |
| static void | texcoordPointer (const Vec4f *_p) |
| Wrapper: glTexcoordPointer for Vec4f. | |
| static void | texcoordPointer (const Vec4d *_p) |
| Wrapper: glTexcoordPointer for Vec4d. | |
| static void | setTexGenMode (GLenum _coord, GLenum _name, GLint _param) |
| replaces glVertexPointer, supports locking | |
| static void | getTexGenMode (GLenum _coord, GLenum _name, GLint *_param) |
| replaces glVertexPointer, supports locking | |
| static void | lockTexcoordPointer () |
| lock color pointer | |
| static void | unlockTexcoordPointer () |
| unlock vertex pointer | |
| static bool | isTexcoordPointerLocked () |
| get vertex pointer lock state | |
GL buffer binding | |
| static void | genBuffersARB (GLsizei n, GLuint *buffers) |
| static void | genBuffers (GLsizei n, GLuint *buffers) |
| static void | bufferDataARB (GLenum target, GLsizeiptrARB size, const GLvoid *data, GLenum usage) |
| static void | bufferData (GLenum target, GLsizeiptr size, const GLvoid *data, GLenum usage) |
| static GLvoid * | mapBuffer (GLenum target, GLenum access) |
| static GLboolean | unmapBuffer (GLenum target) |
| static void | deleteBuffers (GLsizei n, const GLuint *buffers) |
| static void | bindBuffer (GLenum _target, GLuint _buffer) |
| replaces glBindBuffer, supports locking | |
| static void | bindBufferARB (GLenum _target, GLuint _buffer) |
| same function as bindBuffer | |
| static void | lockBufferTarget (GLenum _target) |
| lock buffer target | |
| static void | unlockBufferTarget (GLenum _target) |
| unlock buffer target | |
| static bool | isBufferTargetLocked (GLenum _target) |
| get buffer target locking state | |
| static GLuint | getBoundBuf (GLenum _target) |
| get currently bound buffer | |
| static void | drawBuffer (GLenum _mode) |
| replaces glDrawBuffer, supports locking | |
| static void | drawBuffers (GLsizei _n, const GLenum *_bufs) |
| replaces glDrawBuffers, supports locking | |
| static void | lockDrawBuffer () |
| lock draw buffer state, applies to drawBuffer and drawBuffers | |
| static void | unlockDrawBuffer () |
| unlock draw buffer state | |
| static bool | isDrawBufferLocked () |
| get draw buffer lock state | |
| static void | bindFramebuffer (GLenum _target, GLuint _framebuffer) |
| replaces glBindFramebuffer, supports locking | |
| static GLuint | getFramebufferDraw () |
| get current draw framebuffer of a target | |
| static GLuint | getFramebufferRead () |
| get current read framebuffer of a target | |
| static void | lockFramebuffer (GLenum _target) |
| lock a framebuffer target | |
| static void | unlockFramebuffer (GLenum _target) |
| unlock a framebuffer target | |
| static bool | isFramebufferLocked (GLenum _target) |
| get framebuffer target lock state | |
GL shader program binding | |
| static void | useProgram (GLuint _program) |
| replaces glUseProgram, supports locking | |
| static GLuint | getProgram () |
| get bound program | |
| static void | lockProgram () |
| lock the program | |
| static void | unlockProgram () |
| unlock the program | |
| static bool | isProgramLocked () |
| get program locking state | |
GL texture binding | |
| static void | activeTexture (GLenum _texunit) |
| replaces glActiveTexture, no locking support | |
| static void | activeTextureARB (GLenum _texunit) |
| same functiona as activeTexture | |
| static GLenum | getActiveTexture () |
| get active GL texture | |
| static int | getActiveTextureIndex () |
| get active texture as zero based index | |
| static void | bindTexture (GLenum _target, GLuint _buffer) |
| replaces glBindTexture, supports locking | |
| static void | lockTextureStage () |
| locks the current texture stage (set by setActiveTexture) | |
| static void | unlockTextureStage () |
| unlocks the current texture target | |
| static bool | isTextureTargetLocked () |
| get texture target locking state | |
| static GLuint | getBoundTextureBuffer () |
| get bound texture | |
| static GLenum | getBoundTextureTarget () |
| get bound texture target | |
Static Public Attributes | |
| static const Vec4f | default_clear_color |
| default value for clear color | |
| static const Vec4f | default_base_color |
| default value for base color | |
| static const Vec4f | default_ambient_color |
| default value for ambient color | |
| static const Vec4f | default_diffuse_color |
| default value for diffuse color | |
| static const Vec4f | default_specular_color |
| default value for specular color | |
| static const Vec4f | default_overlay_color |
| default value for overlay color | |
| static const float | default_shininess |
| default value for shininess | |
Static Private Member Functions | |
| static int | getBufferTargetIndex (GLenum _target) |
| bijective map from GLenum buffer_target to [0..3], -1 if unsupported | |
Private Attributes | |
| std::stack< GLMatrixd > | stack_projection_ |
| std::stack< GLMatrixd > | stack_modelview_ |
| std::stack< GLMatrixd > | stack_inverse_projection_ |
| std::stack< GLMatrixd > | stack_inverse_modelview_ |
| GLMatrixd | projection_ |
| GLMatrixd | inverse_projection_ |
| GLMatrixd | modelview_ |
| GLMatrixd | inverse_modelview_ |
| GLMatrixd | window2viewport_ |
| GLMatrixd | inverse_window2viewport_ |
| int | left_ |
| int | bottom_ |
| int | width_ |
| int | height_ |
| int | glwidth_ |
| int | glheight_ |
| double | near_plane_ |
| double | far_plane_ |
| Vec4f | clear_color_ |
| Vec4f | color_ |
| Vec4f | base_color_ |
| Vec4f | ambient_color_ |
| Vec4f | diffuse_color_ |
| Vec4f | specular_color_ |
| Vec4f | overlay_color_ |
| float | shininess_ |
| float | point_size_ |
| float | line_width_ |
| bool | twosided_lighting_ |
| bool | multisampling_ |
| bool | allow_multisampling_ |
| bool | mipmapping_ |
| bool | updateGL_ |
| bool | blending_ |
| unsigned int | msSinceLastRedraw_ |
| ColorStack | colorStack_ |
| bool | colorPicking_ |
Static Private Attributes | |
| static int | num_texture_units_ |
| static bool | depthFuncLock_ |
| static std::deque< GLStateContext > | stateStack_ |
| static GLenum | glStateCaps [95] |
| static std::bitset< 0xFFFF+1 > | glStateLock_ |
| static bool | blendFuncSeparateLock_ [2] |
| static bool | blendEquationLock_ |
| static bool | blendColorLock_ |
| static bool | alphaFuncLock_ |
| static bool | depthRangeLock_ |
| static int | glBufferTargetLock_ [4] |
| static int | glTextureStageLock_ [16] |
| static bool | shadeModelLock_ |
| static bool | cullFaceLock_ |
| static bool | vertexPointerLock_ |
| static bool | normalPointerLock_ |
| static bool | texcoordPointerLock_ |
| static bool | colorPointerLock_ |
| static bool | drawBufferLock_ |
| static bool | framebufferLock_ [2] |
| static bool | programLock_ |
| static int | maxTextureCoords_ |
| static int | maxCombinedTextureImageUnits_ |
| static int | maxDrawBuffers_ |
Profile setter | |
| bool | compatibilityProfile_ |
| void | setCompatibilityProfile (bool _compatibility) |
| bool | compatibilityProfile () const |
Render pass controls | |
| unsigned int | render_pass_ |
| unsigned int | max_render_passes_ |
| unsigned int | render_pass () const |
| get current render pass counter | |
| void | reset_render_pass () |
| reset render pass counter | |
| void | next_render_pass () |
| increment render pass counter | |
| unsigned int | max_render_passes () const |
| get maximum number of render passes | |
| void | set_max_render_passes (const unsigned int _max) |
| set maximum number of render passes | |
Scene Infos | |
| ACG::Vec3d | bb_min_ |
| ACG::Vec3d | bb_max_ |
| void | set_bounding_box (ACG::Vec3d _min, ACG::Vec3d _max) |
| void | get_bounding_box (ACG::Vec3d &_min, ACG::Vec3d &_max) |
This class stores all relevant OpenGL states and can therefore provide some nice and efficient functions like projecting, unprojecting, eye point or viewing direction.
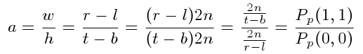
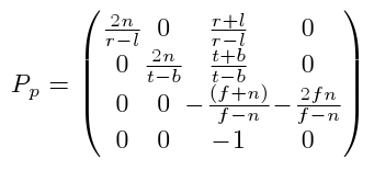
The GLState class stores its own projection matrix which is of type GLMatrixT. Creating a viewing frustum of a perspective projection will result in the following projection matrix:
Where n is the orthogonal distance from the viewing plane (near plane) to the eye position, f is the orthogonal distance from the back clipping plane (far plane) to the eye position, l, r, t, b are scalars indicating the left, right, top and bottom coordinates of the viewing plane (so in fact we have a rectangle between the points (b,l) and (t,r)) and phi is the opening angle (field of view), also see figure 1.
Some useful values that can directly be computed out of the projection matrix:
Definition at line 213 of file MeshNode2T_impl.hh.
|
inline |
Allow mipmapping globally.
Note: This actually does not change the opengl state since mipmapping is turned on/off via texture parameters To change the behaviour see in TextureNode
Definition at line 1068 of file MeshNode2T_impl.hh.
|
static |
Simple wrapper around glBufferData. Useful where glew cannot be included.
|
static |
Simple wrapper around glBufferData. Useful where glew cannot be included.
|
static |
Simple wrapper around glDeleteBuffers. Useful where glew cannot be included.
|
static |
Simple wrapper around glGenBuffers. Useful where glew cannot be included.
|
static |
Simple wrapper around glGenBuffers. Useful where glew cannot be included.
| void ACG::SceneGraph::ACG::GLState::get_bounding_box | ( | ACG::Vec3d & | _min, |
| ACG::Vec3d & | _max | ||
| ) |
Get the current bounding box of the scene. This has to be set before traversal happens in the viewer by using set_bounding_box
|
static |
Simple wrapper around glMapBuffer. Useful where glew cannot be included.
|
inline |
Get overlay color.
This color does not set an opengl state but can be used to store an additional color for a wireframe.
Definition at line 955 of file MeshNode2T_impl.hh.
| std::vector<size_t> ACG::SceneGraph::ACG::GLState::pick_color_to_stack | ( | Vec4uc | _rgba | ) | const |
converts the given color to index values on the stack (only used in color picking) This can be compared to the results of the selection buffer results
| size_t ACG::SceneGraph::ACG::GLState::pick_current_index | ( | ) | const |
Returns the current color picking index (can be used for caching)
Is this value equal to a value used in a previous picking run, then the same colors will be used. In this case a previously calculated color array/display list can be reused.
This is basically the name of the whole object ( which would be the same as the name of the first component of the object), not the name of the primitives/components in the object!
| bool ACG::SceneGraph::ACG::GLState::pick_error | ( | ) | const |
Did an error occur during picking (only used in color picking) Mostly to small color depth or wrong handling of pick_set_maximum
| Vec4uc ACG::SceneGraph::ACG::GLState::pick_get_name_color | ( | size_t | _idx | ) |
returns the color that will be used for index _idx during color picking if this index will be set with pick_set_name. This can be used to generate color arrays instead of using direct gl calls for each primitive
| void ACG::SceneGraph::ACG::GLState::pick_init | ( | bool | _color | ) |
initialize name/color picking stack (like glInitNames())
Follows the OpenGL selection buffer implementation (OpenGL Red Book Chapter 13) http://www.glprogramming.com/red/chapter13.html
Color picking is another method to realize picking. This functions replace the original OpenGL functions, to allow the handling of selection buffer picking and color based picking with the same code.
| bool ACG::SceneGraph::ACG::GLState::pick_set_maximum | ( | size_t | _idx | ) |
Set the maximal number of primitives/components of your object.
Sets the maximum used name index at current stack position (only used in color picking) A restriction inside the color picking implementation forces to set the maximum used number for the following pick_set_name calls between the two pick_push_name/pick_pop_name calls.
If you create picking for your nodes, the values set with pick_set_name have to be between zero and this value.
| void ACG::SceneGraph::ACG::GLState::pick_set_name | ( | size_t | _idx | ) |
sets the current name/color (like glLoadName(_idx))
This will be the index of the primitive/component in the object. If you create picking for your nodes, the values set here will be returned as the target index. So if your object has three parts, you call pick_set_name(0), than render the first component and then pick_set_name(1), ...
If you perform the picking and click on the second component, the returned index will be 1 as set in the node.
| void ACG::SceneGraph::ACG::GLState::set_bounding_box | ( | ACG::Vec3d | _min, |
| ACG::Vec3d | _max | ||
| ) |
Provide scene Information about the boundingbox via this function It is not computed by the state itself!!
| void ACG::SceneGraph::ACG::GLState::set_overlay_color | ( | const Vec4f & | _col | ) |
set overlay color
This color does not set an opengl state but can be used to store an additional color for a wireframe
|
static |
Simple wrapper around glUnmapBuffer. Useful where glew cannot be included.
| void ACG::SceneGraph::ACG::GLState::viewing_ray | ( | int | _x, |
| int | _y, | ||
| Vec3d & | _origin, | ||
| Vec3d & | _direction | ||
| ) | const |
get viewing ray (_orgin & _direction) through pixel (_x,_y). _direction will be nornalized.
|
private |
Provide scene Information about the boundingbox via this function It is not computed by the state itself!!
Definition at line 1025 of file MeshNode2T_impl.hh.
|
private |
Provide scene Information about the boundingbox via this function It is not computed by the state itself!!
Definition at line 1025 of file MeshNode2T_impl.hh.
|
private |
holds the maximum render pass number this has to be set externally
Definition at line 1005 of file MeshNode2T_impl.hh.
|
private |
holds the current render pass number (1-indexed) this has to be set externally
Definition at line 1001 of file MeshNode2T_impl.hh.